中文搜索引擎指南网

标题: 广东省2018年本科文科、理科最低分数线上投档情况 [打印本页]

作者: sowang    时间: 2018-7-18 21:07
标题: 广东省2018年本科文科、理科最低分数线上投档情况
发布时间:2018-07-18 09:51:10 来源:广东省教育考试院


17日下午,省招生办对本科院校普通文理类最低分数线上考生进行投档,共投出175037人,其中文科62811人,理科112226人。



广东省2018年本科文科最低分数线上投档情况
http://www.5184.com/gaokao/skb/201807/44699.html


广东省2018年本科理科最低分数线上投档情况
http://www.5184.com/gaokao/skb/201807/44700.html


作者: sowang    时间: 2018-7-18 21:09
我省本科批次最低分数线上考生17日开始投档

发布时间:2018-07-18 10:47:41 来源:广东省教育考试院

17日下午,省招生办对本科院校普通文理类最低分数线上考生进行投档,共投出175037人,其中文科62811人,理科112226人。从投档情况看,主要呈现以下五个特点:

一是绝大部分院校生源充足,考生志愿满足率高。大部分省内外院校生源充足,基本上都一次性满档,缺档院校数量较去年大幅下降,多数考生都能投到志愿意向的高校,反映了我省实行本科批次合并等一系列改革后,考生填报志愿更加合理,考生升学的机会进一步增加,考生志愿满足率和满意度进一步提高。本科批次整体投档率(含高分优先投档线)理科为98.7%、文科为99.9%,远高于去年。

二是缺档院校数量和招生计划缺额均大幅减少。从投档情况看,除个别学校的地方专项计划、中外合作办学专业以及民办院校和独立学院存在少量缺额外,其他都一次性满档。文科缺档仅剩不足20所高校,缺额计划主要集中在广东海洋大学(地方专项计划)、广州商学院(中外合作办学专业)、广州医科大学(地方专项计划)、南方医科大学(地方专项计划)、哈尔滨华德学院等5所高校。理科缺档高校也仅为20所,缺额计划主要集中在广东理工学院、广东海洋大学寸金学院、广东海洋大学(地方专项计划)、广州商学院(中外合作办学专业)、哈尔滨华德学院、哈尔滨远东理工学院、佛山科学技术学院(地方专项计划)等7所高校。文、理科投档缺额的高校数量和计划比往年大幅度减少。

三是公办高校普遍受到考生“追捧”,投档线“水涨船高”。今年公办高校全部满档,并且投档线普遍较高。省内往年的“热门”院校,今年热度不减,投档线基本接近高分优先投档线。如广东财经大学文科投档线为548分;广东警官学院文、理科投档线分别为542分、481分;广东金融学院文、理科投档线分别为541分、494分;广东技术师范学院文、理科投档线分别为536分、473分;广东第二师范学院文、理科投档线分别为533分、469分;广东药科大学文、理科投档线分别为531分、468分;仲恺农业工程学院文、理科投档线分别为527分、461分。省外财经类、医学类、师范类、政法类等院校受考生欢迎,投档分普遍较高。如陕西中医药大学、广西师范大学、重庆工商大学、山东财经大学、天津商业大学的文科投档线分别为549分、549分、548分、547分、543分;安徽医科大学、河南财经政法大学、天津科技大学、河北师范大学的理科投档线分别为499分、497分、497分、495分。

四是民办院校、独立学院逐步得到社会认可,投档线较去年又有较大提高。经过多年办学积累,相当部分民办院校和独立学院的办学水平和教学质量不断提升,毕业生的就业率明显提高,吸引了越来越多的考生填报,大部分院校投档分都比较高,有的远超本科最低投档线。如中国传媒大学南广学院文、理科投档线分别为521分、459分;南京大学金陵学院文、理科投档线分别为516分、434分;吉林大学珠海学院文、理科投档线分别为506分、435分;北京理工大学珠海学院文、理科投档线分别为503分、427分;广东外语外贸大学南国商学院文、理科投档线分别为490分、409分。

五是中西部等经济欠发达地区的高校以及除中心城市以外的市属高校生源较往年充足,一改往年低迷现象,基本都可一次性满档。今年,东北、西北、西南等区域的高校和中心城市以外的市属高校生源良好,一些往年生源“紧缺”、少人“问津”的高校,不但按计划投满,而且投档分数线还较高。如石河子大学文、理科投档线分别为541分、479分;兰州交通大学文、理科投档线分别为529分、491分;新疆师范大学文、理科投档线分别为514分、435分。

17日,本科院校普通文理类高分优先投档线上考生录取结束。共录取78912人,退档466人,退档人数较去年一本批次院校录取大幅减少,退档原因主要是不服从专业调剂导致。

根据招生录取日程安排,本科批次院校录取将于20日结束,随后省招生办将对尚未完成招生计划的高校,通过征集志愿录取完成招生任务。

作者: sowang    时间: 2018-7-18 21:15
 广东省2018年本科文科最低分数线上投档情况
























作者: sowang    时间: 2018-7-18 21:18
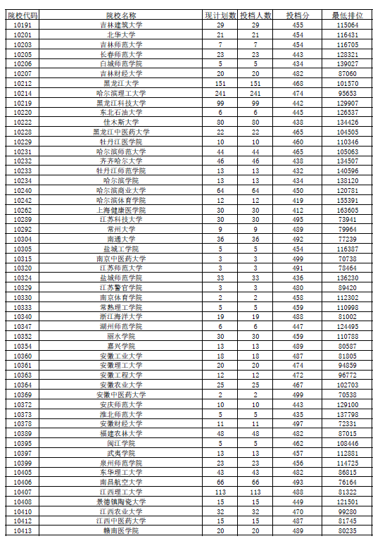
广东省2018年本科理科最低分数线上投档情况




























从投档情况看,主要呈现以下五个特点:

  一是绝大部分院校生源充足,考生志愿满足率高。大部分省内外院校生源充足,基本上都一次性满档,缺档院校数量较去年大幅下降,多数考生都能投到志愿意向的高校,反映了我省实行本科批次合并等一系列改革后,考生填报志愿更加合理,考生升学的机会进一步增加,考生志愿满足率和满意度进一步提高。本科批次整体投档率(含高分优先投档线)理科为98.7%、文科为99.9%,远高于去年。

  二是缺档院校数量和招生计划缺额均大幅减少。从投档情况看,除个别学校的地方专项计划、中外合作办学专业以及民办院校和独立学院存在少量缺额外,其他都一次性满档。文科缺档仅剩不足20所高校,缺额计划主要集中在广东海洋大学(地方专项计划)、广州商学院(中外合作办学专业)、广州医科大学(地方专项计划)、南方医科大学(地方专项计划)、哈尔滨华德学院等5所高校。理科缺档高校也仅为20所,缺额计划主要集中在广东理工学院、广东海洋大学寸金学院、广东海洋大学(地方专项计划)、广州商学院(中外合作办学专业)、哈尔滨华德学院、哈尔滨远东理工学院、佛山科学技术学院(地方专项计划)等7所高校。文、理科投档缺额的高校数量和计划比往年大幅度减少。

  三是公办高校普遍受到考生“追捧”,投档线“水涨船高”。今年公办高校全部满档,并且投档线普遍较高。省内往年的“热门”院校,今年热度不减,投档线基本接近高分优先投档线。如广东财经大学文科投档线为548分;广东警官学院文、理科投档线分别为542分、481分;广东金融学院文、理科投档线分别为541分、494分;广东技术师范学院文、理科投档线分别为536分、473分;广东第二师范学院文、理科投档线分别为533分、469分;广东药科大学文、理科投档线分别为531分、468分;仲恺农业工程学院文、理科投档线分别为527分、461分。省外财经类、医学类、师范类、政法类等院校受考生欢迎,投档分普遍较高。如陕西中医药大学、广西师范大学、重庆工商大学、山东财经大学、天津商业大学的文科投档线分别为549分、549分、548分、547分、543分;安徽医科大学、河南财经政法大学、天津科技大学、河北师范大学的理科投档线分别为499分、497分、497分、495分。

  四是民办院校、独立学院逐步得到社会认可,投档线较去年又有较大提高。经过多年办学积累,相当部分民办院校和独立学院的办学水平和教学质量不断提升,毕业生的就业率明显提高,吸引了越来越多的考生填报,大部分院校投档分都比较高,有的远超本科最低投档线。如中国传媒大学南广学院文、理科投档线分别为521分、459分;南京大学金陵学院文、理科投档线分别为516分、434分;吉林大学珠海学院文、理科投档线分别为506分、435分;北京理工大学珠海学院文、理科投档线分别为503分、427分;广东外语外贸大学南国商学院文、理科投档线分别为490分、409分。

  五是中西部等经济欠发达地区的高校以及除中心城市以外的市属高校生源较往年充足,一改往年低迷现象,基本都可一次性满档。今年,东北、西北、西南等区域的高校和中心城市以外的市属高校生源良好,一些往年生源“紧缺”、少人“问津”的高校,不但按计划投满,而且投档分数线还较高。如石河子大学文、理科投档线分别为541分、479分;兰州交通大学文、理科投档线分别为529分、491分;新疆师范大学文、理科投档线分别为514分、435分。

  17日,本科院校普通文理类高分优先投档线上考生录取结束。共录取78912人,退档466人,退档人数较去年一本批次院校录取大幅减少,退档原因主要是不服从专业调剂导致。

  根据招生录取日程安排,本科批次院校录取将于20日结束,随后省招生办将对尚未完成招生计划的高校,通过征集志愿录取完成招生任务。

  来源:广东省教育考试院





欢迎光临 中文搜索引擎指南网 (http://www.sowang.com/bbs/) Powered by Discuz! X3.2