中文搜索引擎指南网

标题: 浙江省2018年普通高校招生成绩分数段表(总分)下载 [打印本页]

作者: sowang    时间: 2018-6-24 23:23
标题: 浙江省2018年普通高校招生成绩分数段表(总分)下载
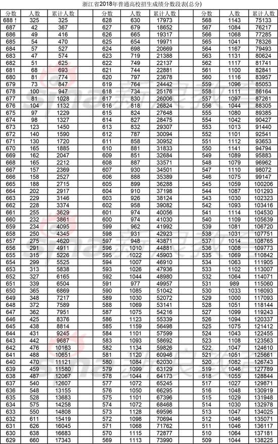
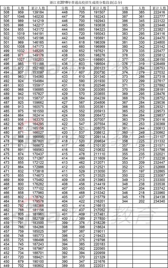
浙江省2018年普通高校招生成绩分数段表公布。


浙江省2018年普通高校招生成绩分数段表(总分).pdf
http://www.zjzs.net/plug-in/ueditor/jsp/upload/20180623/96761529723748711.pdf













欢迎光临 中文搜索引擎指南网 (http://www.sowang.com/bbs/) Powered by Discuz! X3.2